| INSTRUMENTACION
- VALOR EFICAZ |
|
| El comportamiento de los instrumentos de corriente alterna frente a las ondas no senoidales es de particular importancia, por cuanto tales instrumentos están casi invariablemente calibrados en valores eficaces de corriente y a partir de ondas senoidales. | |
| - DESARROLLO | |
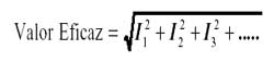
Los intrumentos de hierro móvil, dinamométricos y de termocupla, proporcionan indicaciones que son proporcionales al cuadrado del valor eficaz de la onda de corriente que los recorre. En consecuencia, si una onda consta de componentes de diferentes frecuencias y magnitudes eficaces I1, I2, I3, etc, estos instrumentos de ley cuadrática darán la misma indicación que daría en presencia de una onda senoidal que tuviera un valor eficaz de: |
|
![]() |
|
| La
sustitución de valores en esta fórmula evidencia que la
presencia de un 20% de armónicas aumenta la lectura en un 2%. La
indicación del instrumento de ley cuadrática, por lo demás,
no se ve afectada por las posiciones relativas de fase de las distintas
armónicas. Los instrumentos rectificadores y electrónicos se utilizan de ordinario de modo que no siguen la ley cuadrática, las particularidades de tal funcionamiento se discuten a continuación. Es así, que la mayoría de los instrumentos de CA sólo miden el verdadero valor eficaz de una señal cuando la misma es una sinusoide perfecta. Para el técnico que hace la medición, el problema es reconocer que cantidad es la que realmente se mide. La diferencia entre lo que el operador cree que está midiendo y el parámetro que está realmente midiendo puede llevar a errores importantes. Esto es especialmente importante cuando se está trabajando con las exactitudes comunes a los instrumentos digitales. Las figuras 1 a 3 muestran las discrepancias entre los valores eficaces reales y los valores medios que responden a los valores calibrados en unidades RMS para mediciones típicas. |
|
![]() |
|
![]() |
|
| Si
debemos caracterizar la magnitud de una señal de CA, tenemos una
elección entre tres valores, pico, valor medio y RMS. Con un osciloscopio, se puede medir el valor de pico o el de pico a pico es el único valor que puede determinarse mediante la inspección visual. Este también es el valor crítico para determinar si una señal sobrecargará a un amplificador. No obstante, el valor de pico no nos da suficiente información en muchas aplicaciones. Por ejemplo, el ruido aleatorio tiene un valor de pico infinito, por lo que no puede medirse con un instrumento detector de pico. A primera vista, podría parecer que el valor medio de una onda sería más útil. Este valor depende de la onda completa, no de la medida sobre un solo punto como el valor de pico. Desgraciadamente, el valor medio se presenta raramente en el tratamiento matemático de las formas de ondas. Es un parámetro de relativa poca importancia, aunque es bastante fácil de medir con un circuito rectificador simple. Para tensiones continuas tenemos pilas patrones, pero no existe un standard de alterna similar, por lo que se emplean técnicas de transferencia térmica, similares a los que se emplean en los laboratorios nacionales. La técnica puede verse en la figura 4: |
|
![]() |
|
| 1-
El resistor de rangos se ajusta de modo que la corriente a medir está
dentro del rango efectivo de la termocupla. 2- Un voltaje, proporcional al valor RMS de la corriente CA se genera en la juntura de la termocupla. Esta salida provoca la deflexión del galvanómetro, el que se lleva a cero mediante el ajuste de la batería. 3- La fuente de CC calibrada se conmuta ahora en lugar de la entrada de CA, y se varía hasta llevar el galvanómetro a cero. El valor de la tensión de continua es ahora igual al valor RMS de la señal de CA. |
|
| Este
procedimiento es bastante tedioso, necesita dos períodos de calentamiento
para la termocupla, dos balances a cero y normalmente un operador competente.
Existen en el comercio voltímetros que automatizan este procedimiento.
Pero son de alto costo, debido a su complejidad para automatizar la medición,
suministrar alta impedancia, proteger al elemento térmico y aumentar
el rango un tanto limitado de la termocupla. No obstante son lentos ya
que hay que esperar la estabilización de dos períodos de
la termocupla, lo que limita la frecuencia más baja que se puede
medir, ya que por debajo de los 45Hz, la termocupla sigue la onda de baja
frecuencia ante que al verdadero valor RMS. A menudo uno está interesado en conocer la exactitud de una medición con un instrumento de verdadero valor eficaz sobre una forma de onda específica. El factor de cresta del instrumento es la clave para la respuesta a dicha pregunta. Ningún instrumento medirá con exactitud el valor RMS de todas las formas de onda. La especificación del factor de cresta describe al conjunto de formas de onda para la cual el instrumento hará medidas dentro de la exactitud especificada. Obviamente, un instrumento que responde al valor medio no puede tener una especificación del valor de cresta, ya que dicho instrumento puede medir con exactitud una sola forma de onda, la senoidal. El factor de cresta se define como la relación entre el valor pico y el RMS de una forma de onda. Un instrumento con un valor de cresta de 4:1 medirá con la exactitud especificada todas las señales con un factor de cresta menor que 4:1. Los factores de cresta de algunas de las formas de onda que se encuentran en la práctica son los dados en la tabla 1. Estos ejemplos indican que las formas de onda más comunes poseen un factor de cresta relativamente bajo. Las formas de onda con paquetes de energía, como trenes de pulsos con un ciclo de trabajo muy bajo, tiene una relación de pico a RMS muy alta, y solamente pueden ser medidas con exactitud con instrumentos con un alto factor de cresta. |
|
![]() |
|
|
La
especificación del factor de cresta de la mayoría de los
instrumentos que miden RMS varía con la magnitud de la señal
de entrada comparada con el rango de fondo de escala. La especificación
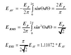
es mejor a media escala que a plena escala. La tabla 2 es típica. La técnica del valor medio ofrece buena estabilidad, buena sensibilidad y mediciones relativamente rápidas a un precio económico. Su economía y efectividad ha hecho que se emplee en la mayoría de los tésters digitales. Los instrumentos de valor medio serían mucho más populares si no fuera por el hecho de que pequeñas desviaciones de una sinusoide puede ocasionar errores importantes. Estos son causados por la distorsión resultado de la naturaleza de la técnica. Lo que realmente se mide es el valor medio rectificado de la señal de CA y luego se muestra el valor sobre una escala calibrada en el equivalente RMS. El punto crucial es que la calibración está basada en la relación matemática precisa entre el valor medio y el valor RMS de una onda sinusoidal sin distorsión. Matemáticamente: |
|
![]() |
|
| En
donde 1.11072 es el factor de calibración (k). La salida de un convertidor de valor medio se multiplica por 1,11 para indicarnos la medición en unidades RMS. En la práctica no existen sinusoides sin distorsión. La línea de 220 V puede llegar al 5%. Los buenos osciladores de audio tienen una distorsión del 0.25 o menor. Con solamente una distorsión del 3%, la exactitud de un instrumento al 0.1% se degrada hasta un 1%. Solamente un ojo entrenado puede apreciar distorsiones menores al 5% en la pantalla de un osciloscopio. En el caso de una onda cuadrada, la exactitud de un medidor de valor medio comparada con la de un verdadero lector de RMS varía en un 11%. Las figuras 1-3 de idea del error que se produce en dichos casos. El error inherente de un instrumento que mide el valor medio es una función de la magnitud, contenido harmónico y de la fase de la distorsión. En las figuras 5 y 6 podemos apreciar los errores teóricos ocasionados por la segunda y tercera armónica de una sinusoide. La técnica de medir el valor de pico es la más antigua de todas, mide amplitud de pico e indica valor RMS en una conversión similar a la medición de valor medio. Es obvio que esta técnica no es apropiada para la medida de CA con precisión. Una pequeña cantidad de distorsión ocasiona errores más significativos en la medida de valor pico que en la medida de valor medio. |
|
![]() |
|
|
Arnoldo Galetto |
|
![]() |